Упр.27.4 ГДЗ Мордковича 10 класс профильный уровень (Алгебра)

Решение #1

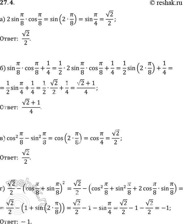
Изображение Вычислите:a) 2sin пи/8 cos пи/8;б) sin пи/8 cos пи/8 + 1/4;в) cos пи/8 - sin2 пи/8;г) корень2 / 2 - (cos пи/8 + sin...

Решение #2(записки учителя)

Изображение Вычислите:a) 2sin пи/8 cos пи/8;б) sin пи/8 cos пи/8 + 1/4;в) cos пи/8 - sin2 пи/8;г) корень2 / 2 - (cos пи/8 + sin...
Загрузка...

Рассмотрим вариант решения задания из учебника Мордкович, Семенов 10 класс, Мнемозина:
Вычислите:
a) 2sin пи/8 cos пи/8;
б) sin пи/8 cos пи/8 + 1/4;
в) cos пи/8 - sin2 пи/8;
г) корень2 / 2 - (cos пи/8 + sin пи/8)2.
*Цитирирование задания со ссылкой на учебник производится исключительно в учебных целях для лучшего понимания разбора решения задания.
*размещая тексты в комментариях ниже, вы автоматически соглашаетесь с пользовательским соглашением